Notice: You are viewing a basic version of this page. Are you using a very old browser? If so, please consider upgrading
Skip to content Skip to navigation Skip to footer
NPEU Login
Staff Area
TOAST Randomise to TOAST
You are here:
NPEU Home / TOAST / Clinicians / IMP Dosing
In this section
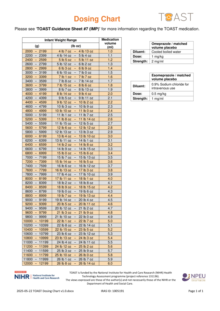
TOAST Dosing Chart v1.0 TOAST FLOWCHART Symptomatic reflux treatment pathway - CLINICANS - v3.0 TOAST Daily Dosing Log v4.0 TOAST Daily Dosing Log Supplementary page v1.0
See all updates
For more information about TOAST, please view the contact details page